杂质对照品是一种用于检查药品质量的特殊标准物质,主要用于药品的鉴别、检查和含量测定。 这些对照品通常是已知纯度和结构的化合物,用于确保药品的质量和安全性。它们在国家药品标准的执行中扮演着重要角色,确保药品的质量可控,减少不良反应,并提供更好的治疗效果。
奈诺沙星对映异构体
奈诺沙星差向异构体1
奈诺沙星差向异构体2
奈诺沙星杂质A
奈诺沙星杂质B
奈诺沙星杂质C
奈诺沙星杂质D
奈诺沙星杂质G
奈诺沙星杂质H
奈诺沙星杂质I
奈诺沙星杂质J
中间体1杂质2
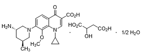
苹果酸奈诺沙星